400-821-0778
产品
  • 产品
  • 品牌
  • 解决方案
  • 新闻
首页 - 解决方案
中国药典0601 相对密度测定法

2021-01-22

返回列表

密度系指在规定的温度下,单位体积内所含物质的质量数,即质量与体积的比值;相对密度系指在相同的温度、压力条件下,某物质的密度与水的密度之比。除另有规定外,温度为20℃。


纯物质的相对密度在特定的条件下为不变的常数。但如物质的纯度不够,则其相对密度的测定值会随着纯度的变化而改变。因此,测定药品的相对密度,可用以检查药品的纯杂程度。


液体药品的相对密度,一般用比重瓶测定;

图片

测定易挥发液体的相对密度,可用韦氏比重秤,

图片

液体药品的相对密度也可采用振荡型密度计法测定。

图片

振荡型度计主要由 U 型振荡管(一般为玻璃材质,用于放置样品)、电磁激发系统(使振荡管产生振荡)、频率计数器(用于测定振荡周期)和控温系统组成。


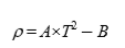
通过测定 U 型振荡管中液体样品的振荡周期(或频率)可以测得样品的密度。振荡频率(T)与密度(ρ)、测量管常数(c)、振荡管的质量(M)和体积(V)之间存在下述关系

图片

如果将 c / (4π2 ×V)定义为常数 A , M/V 定义为常数 B,则上述公式可简化如下:

图片

对仪器的一般要求  用于相对密度测定的仪器的读数精度应不低于±0.001g/mL,并应定期采用已知密度的两种物质(如空气和水)在 20℃(或各品种正文项下规定的温度)下对仪器常数进行校准。建议每次测量前用新沸放冷的水对仪器的读数准确性进行确认,可根据仪器的精度设定偏差限度,例如精确到±0.0001g/mL 的仪器,水的测定值应在 0.9982±0.0001g/mL 的范围内,如超过该范围,应对仪器重新进行校准


测定法:  照仪器操作手册所述方法,取供试品,在与仪器校准时相同的条件下进行测定。测量时应确保振荡管中没有气泡形成,同时还应保证样品实际温度和测量温度一致。如必要,测定前可将供试品温度预先调节至约 20℃(或各品种正文项下规定的温度),这样可降低在 U 型振荡管中产生气泡的风险,同时可缩短测定时间。


黏度是影响测量准确度的另一个重要因素。在进行高黏度样品的测定时,可选用具有黏度补偿功能的数字式密度计进行测定,或者选取与供试品密度和黏度相近的密度对照物质(密度在供试品的±5%、黏度在供试品的±50%的范围内)重新校准仪器。


附表  不同温度下水的密度值

图片

美国鲁道夫密度计(U型震荡管法密度计)

参与中国药典U型振荡管法密度计的数据比对和实验的工作


中国药典中

0183 煎膏剂(膏滋)

0711  乙醇测定法

0713 脂肪与脂肪油测定法

9601 包材中的包衣剂,增塑剂,表面活性剂,保湿剂,成膜剂等功能性相关指标


这些测定都需要用到密度计来测量相对密度,在中国药典中还需要测定相对密度的原辅料还包含了大豆油,十六醇,棕榈油异丙酯,丁香油,三乙醇胺,乙二胺,二甲基亚砜,乙酸乙酯,乙醇,无水乙醇,二甲硅油,黄凡士林等 。


点击下载

请输入以下信息
手机号
* 发送验证码
验证码
*
姓名
*
邮箱
*
公司
*
感兴趣的产品
*

Delivering Growth – in Asia and Beyond.

  • 首页
  • 在线留言
  • 联系电话
  • 返回顶部
  • Think Asia. Think DKSH.